近日,經濟管理學院李昊洋教授(第一作者)、中央財經大學吳楠、康奈爾大學Jinhua Zhao教授的合作論文“Markup dispersion, industry coverage and the cost of environmentalregulation” 發表于Journal of Environmental Economics and Management(JEEM)上。

傳統環境經濟學文獻認為,所有污染者均應被規制至邊際減排成本相等的均衡。相反地,本文為“部分覆蓋”的規制模式(即,僅對部分污染行業實施環境監管)提出了一個可能的適用情景。當較清潔的行業具有較高的市場勢力時,環境規制通過引導生產要素從污染較重的行業流向清潔行業,緩解不完全競爭所帶來的成本扭曲。選擇哪些行業規制取決于行業間市場勢力與污染程度的相關性,而非簡單依據排放量大小選取。當減排目標適中時,覆蓋部分行業的環境規制可能優于全行業覆蓋。本文將該模型應用于中國的環境規制實踐,結果表明,相較于全行業覆蓋,僅規制部分行業可顯著降低減排成本。
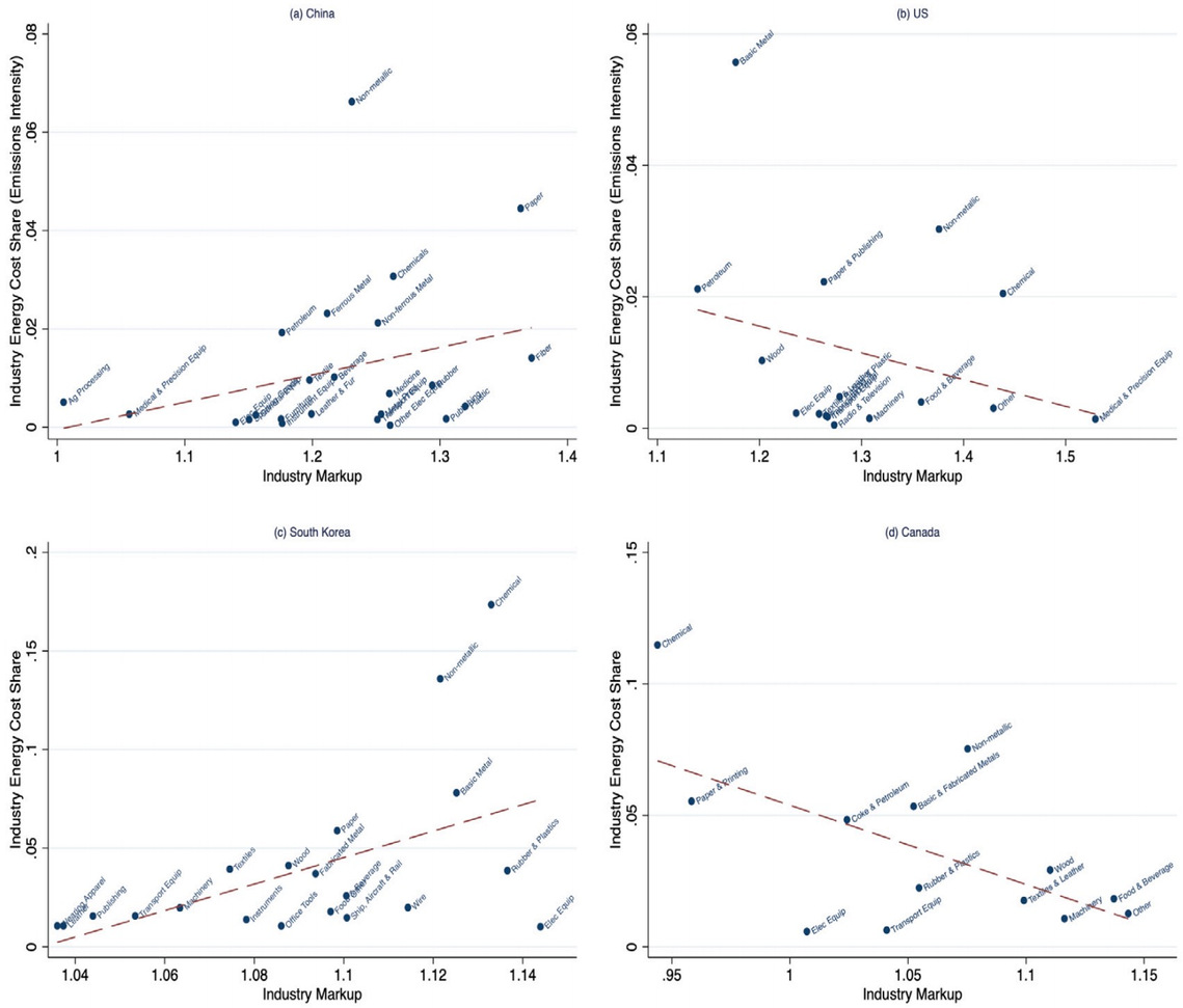
李昊洋教授表示消費者對于不同行業產品的差異化偏好和行業國際貿易參與度之間的差異通常導致行業之間的市場勢力強弱存在顯著差異。次優環境規制理論認為,由于市場勢力較高的行業通常較低(以此獲取壟斷利潤),激勵這些行業提高產量對社會有益。因此,對這些行業的環境規制應適當放松。另一方面,在現實中,出于公平性考量,環境政策通常僅覆蓋排污量最高的部分行業。如,歐盟與中國兩大碳排放許可證交易市場都只覆蓋了二氧化碳排放量最高的部分行業。然而,以制造業行業為例,如下圖所示,行業排污強度與行業的市場勢力之間通常存在顯著的相關性。此時,若較清潔的行業具有較高的市場勢力,環境規制通過引導生產要素從污染較重的行業流向清潔行業,緩解不完全競爭所帶來的成本扭曲。

圖1 各國行業間市場勢力與排污強度的相關性
基于以上背景,李昊洋教授構建了一個包含異質性產業的一般均衡模型。基于這一模型,文章從理論上推導了社會邊際減排成本的表達式,并研究得出被規制的行業間市場勢力與排污強度的協方差是減排成本的重要影響因素。選擇哪些行業規制取決這一相關性,而非簡單依據排放量大小選?。划敎p排目標適中時,覆蓋部分行業的環境規制可能優于全行業覆蓋。本文將該模型應用于中國的環境規制實踐,結果表明,相較于全行業覆蓋,僅規制部分行業可顯著降低減排成本。

圖2 最優“部分行業覆蓋”環境政策相對于全行業覆蓋政策的成本節約比例
Journal of Environmental Economics and Management是由Elsevier出版的環境經濟學和管理領域的國際期刊,自1974年創刊以來,長期關注環境外部性的評估與規制策略研究,是資源環境經濟學領域公認的國際頂級期刊,位列《FMS管理科學高質量期刊推薦列表2023》A等級,其文章被廣泛引用,對該領域的研究和實踐產生了重要影響。
閱讀次數:333
【 轉載本網文章請注明出處 】